小空間聲學設計與認證標準探索

隨著生活水平的日益提高,人們對文化生活的要求也逐漸提高,小型影院、影音室正逐步走入人們的視野。近幾年,國內的定制安裝行業得到了迅猛發展,各式各樣的設計理念涌入國內。人們在設計影音室的時候就會提出 “吸音怎么吸?用什么樣的材料?放多少?放在哪里?市面上買的擴散體可以改善音質嗎?”這樣的問題,在工程完工的時候又會提出“這樣的聲音就是最好的了嗎?還有沒有改善的可能?怎樣改善呢?”等等。人們使用零散的理論和知識點應用到實際設計中,缺少系統的理論指導和測試、評判標準。小型影院聲學設計是一項系統工程,從前期的數據采集、指標確立、數據測算、材料和結構訂立,再到加工方法、測試驗收,每一個步驟都需要擁有豐富的技術儲備與實現方式的積累。而現在通行的影院設計標準多為商用影院,內容大部分為大的指標,并不具備實際的指導意義,對于聲學指標更高、更細膩的小型影院并不適用。因此,中電聲學與清華大學建筑聲學研究所聯合編制了一項《小型影院聲學設計與認證標準》,作為對家庭影院、個人影音室蓬勃發展的響應和推動。該標準致力于為小型非商用影院的聲學設計及認證提供更專業更有針對性的標準及方法,并對音質效果欠佳的影院提供整改方向。歡迎光臨小強家庭影院導購網

  1、等級及適用范圍

  針對容積小于等于500m³的小型影院,根據小型影院客觀技術指標,主觀認證指標的綜合考量,為小型影院制定了四個等級,即:
  小型影院聲學認證B級    (不達標)
  小型影院聲學認證A級   (標準級)
  小型影院聲學認證A+級   (專業級)
  小型影院聲學認證A++級  (實驗室級)

  2、客觀技術指標

  2.1  背景噪聲限值
  最高上限為NC25(噪聲源設備正常運轉)。

  安靜的背景噪聲是音質設計的前提和基礎,只有房間保持安靜,才能體驗到聲軌的每一個細節,音質設計才有意義,否則再好的聲音效果都會受到外界噪聲的影響。圖1為不同NC曲線所對應人的主觀感受。

\
圖1不同NC曲線對應人的主觀感受

  非商業影院一般屬于較私密的空間,更具個性化,因此在使用時更希望不受外界干擾而專注于欣賞。為此,根據實際情況及參考其他國家的設計指標,選擇NC-25(噪聲源設備正常運轉)作為背景噪聲限值。

  背景噪聲的控制,需要從房間空氣聲隔聲和撞擊聲隔聲、通風與空調設備消聲、管道系統的隔聲減振、室內放映播放設備降噪等方面綜合考慮。

  2.2空氣聲隔聲

  當聲源在室內發出90dB(A)以上白噪聲時,臨近敏感房間(橫向、豎向)的聲壓級差大于等于45dB(A)。

  良好的隔聲意味著:該房間可在任何時間使用并不干擾他人,也不會受到他人干擾。以家庭影院為例,正常放映時,聲級范圍約在85-105dB(A)。因此良好的隔聲不僅是對室內背景噪聲的保證,也是防止房間使用時對周圍房間及環境造成影響。

  實際設計中,墻體經常是由不同的構件組成,比如門、窗。墻上的每一構件有不同的傳聲損失,而門、窗的傳聲損失低于其他部分,致使墻的隔聲效果降低,組合墻體的隔聲量與墻和門窗的隔聲量以及面積有關。計算公式如下:
\
式中:τ——組合墻的透射系數;
      τw——墻體的透射系數;
      τd——門窗的透射系數;
      Sw——墻的面積;
      Sd——門窗的面積。

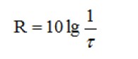
  隔聲量R和透射系數τ的關系可由下式計算:
\
  為達到上述要求,建議設計時,構件空氣隔聲量達到:墻體Rw+C≥60dB;樓板Rw+C≥60dB;隔聲門Rw+C≥45dB;隔聲窗Rw+C≥40dB。

  小型影院、影音室在放映時存在較多的低頻聲音,隔聲設計時應保證250Hz以下聲音的隔聲量,可采用多層復合隔聲板,并帶有空腔,各構件之間有彈性連接等隔聲構造方法。

  本標準之所以提出了45dB(A)聲級差的評價方法,一方面是方便實際評價工作的測量操作,二是提出了隔聲指標是適中的、可實現的,這一指標與240磚墻或200厚混凝土墻的隔聲性能相當。另外,評價測量的結果可能會受到測點選擇的影響,因此本標準中對測點選擇布置進行了詳細規定。
\
  2.3  中頻混響時間(500~1000Hz)
  指標如下:
  小型影院滿場500~1000Hz混響時間

注:允許最大誤差±0.05s。

  當聲能密度達到穩態時,若聲源突然停止發聲,室內接收點上的聲音并不會立即消失,而是有一個逐漸衰變的過程,室內聲能密度將逐漸減弱,直至趨近于背景,這一衰變過程為“混響過程”。
weixin

阿強家庭影院導購/產品/方案/評測/案例

多年家庭影院設計與裝修施工經驗、百多家真實案例展示

立即撥打132 4190 2523(同微信號)或者關注公眾號:hdkong

阿強抖音碼