打造高標準影音空間 家庭影院空間規劃縱談


要打造真正優秀的家庭影院視聽空間,獲取出眾的影音效果,制約的因素除了影音器材的性能之外,房間的聲學與光學特性更是先天因素。尤其是難以預測與計算的各種不同類型房間的聲學特性,將會對聲音的回放造成各種各樣的影響,當中房間大小與比例更是至關重要的部分。以現代建筑學上經典的矩形房間而言,當房間的長寬高之間的比例達到某個特定的數值,就會出現低頻響應中的峰谷現象,導致整個頻段的聲音均勻度失調,引起聲染,嚴重減低聲音的清晰度與細節感。因此,在打造視聽室的時候,最理想的必然是根據一個合適的房間比例去建造。對于已經擁有了出色的設備,卻不能獲得滿意的聲音效果的朋友,不妨留意自己的房間是否建立在合適的比例上。
對于視聽室的房間大小與比例的研究,其實從上個世紀40年代就陸續得到了不少著名聲學專家的重視,并發現房間的比例與大小是兩個互相影響的房間聲學特性。起初大多數的研究是圍繞演奏廳、錄音室等環境而進行的,經過數十年的發展,隨著家庭影院逐漸成熟與普及,國際上也出現了針對小空間家庭視聽室房間大小與比例的標準,F在,絕大多數優秀的家庭影院視聽室的建立都是基于這些標準之上。以下將會回顧這數十年來的各種不同的研究,以及對國際性的標準比例與大小進行逐一深入的討論,希望能夠讓更多的影音愛好者重視視聽室的房間大小與比例,獲得優異的聲音效果。以此為打造家庭影院的基礎,構造理想的視聽空間。
視聽室房間大小與比例研究發展歷程回顧
從古至今,依據建筑的合理性、安全性以及便利性,住宅房間多以矩形的形式存在。利用住宅改造的視聽室由于先天不足,往往會存在聲學上的問題。這也引起人們的關注,對于常規的矩形視聽室房間大小與比例的探討從上個世紀40年開始就在不斷發展之中。視聽室的聲學屬于小房間的聲學范疇,而當中最容易出現的問題就在于低頻部分,會導致不平坦的聲音頻率響應與聲波衰減,從而引發聲音重放的聲染現象。改變房間比例能夠大幅度減低房間的聲染現象,這是歷史上眾多聲學專家的共識。
涉及聲學知識簡介——小房間聲學缺陷
軸向共振示意圖

軸向共振示意圖
切向共振示意圖
切向共振示意圖
斜向共振示意圖
斜向共振示意圖
 談及家庭視聽室的聲學缺陷就必然聯系到小房間聲學系統。小房間的定義是指室內空間尺寸較小的房間,其房間的三邊尺寸多數在10m以內,家庭視聽室大多數都是這樣的環境。由于房間容積較小,三邊的長度與聲波波長能產生一定的比例關系,特別是在200Hz的低頻部分就更容易出現。因此,家庭視聽室由于房間容積較小,必然會由于房間的固有共振頻率模式而引起某部分頻段的聲音疊加或者衰減的現象,造成房間聲染的問題,導致房間聲音質量下降。家庭視聽室的聲學缺陷包括了駐波、梳妝濾波、共振與簡并等聲學缺陷。當中與房間大小與比例相關的包括駐波、共振與簡并。當房間的尺寸與低頻部分波長相近或與低頻部分波長呈簡單倍數關系時,房間就會產生駐波現象。房間共振方式有三種,包括軸向共振、切向共振以及斜向共振。當房間的幾何尺寸呈整數比時,造成室內軸向共振與切向共振頻率重合或相近時,就會產生簡并現象。簡并現象會加重房間的聲染問題,這也是研究視聽室房間大小與比例的原因之一。[page]
早期的西方聲學專家所提出的經典房間推薦比例
在聲學研究方面,不得不說,西方國家與我國相比要領先許多。對于視聽室房間聲學的研究,早在上個世紀初就展開,在40年代中期達到了最高峰,出色的聲學專家不斷涌現,他們也逐漸發現,與其在建立后的視聽室對聲音進行吸音與擴散的控制,還不如選擇在建立視聽室的前期就控制房間的形狀與比例。于是,關于視聽室房間比例的研究就不斷地進行著,并發現房間比例并不能限制于某一特定的比例,而是一個推薦的比例范圍,著名的波爾圍線就是當中的經典。
此外,關于視聽室房間的形狀,這些聲學專家也對除了矩形的各種類型進行研究,并最終表示矩形的房間易于建筑以及進行聲學控制,同時任何環境都要盡量避免凹表面,因為它會引起聲學上的聚焦點與盲點,難以消除影響。
早期最著名的幾個房間推薦比例:
聲學專家 推薦房間比例(高:寬:長)
Sabine 1:1.5:2.5
Volkmann 1:1.6:2.5
Knudsen 1:1.88:2.5
Harmonic 1:2:3
Boner 1:1.26:1.59

除了以上5個推薦比例之外,還有黃金比例1:1.62:2.62以及早期歐洲聲學專家們推薦的1:1.67:2.67。從這7個推薦的房間比例可以得知,大致將房間比例的范疇定于1:(1~2):(1.5~3)區間之內,雖然上面幾個房間推薦比例多是針對容積較大的音樂廳而設定的,但也為后期的小房間比例標準的建立打下了堅實的基礎。當中值得留意的是由Boner所推薦的1:1.26:1.59,這是為容積較小的廣播演播室而推薦的房間比例,也最終成為家庭影院視聽室房間推薦比例國際標準的前身。
 1946年由著名聲學專家Bolt提出的“波爾圍線”(Bolt-Area)
在上個世紀早期關于房間比例的研究與討論過程中,取得最大成果的當數來自著名聲學專家Bolt所帶來的波爾圍線,將生硬的數字比例轉變為具體的圖像范圍。Bolt假定剛性矩形房間的固有共振頻率被均勻分開,那么在聲音頻率響應曲線上將會更加平坦,不會出現過多的峰谷。不過就現在的聲學理論來看,利用平均模式間隔作為基本理論并不夠理想,但是在當時來說,不能不說是重大的突破。
“波爾圍線”(Bolt-Area)
▲上圖:由著名聲學專家Bolt帶來的波爾圍線(Bolt-Area),對后世房間比例的研究帶來極大的幫助,圖中的封閉曲線就是著名的波爾圍線,圖中的橫軸為W(房間寬度比值),縱軸為L(房間長度比值),房間的高度比例定為1。Bolt認為封閉曲線內部的范圍是較為理想的房間比例取值,而這條封閉曲線是針對中小型房間推導出來的,曲線內部左方對應的是體積相對較小的房間,右方則是對應體積較大的房間。當年Bolt也留意到在封閉曲線之外的區域同樣也存在多個可以接受的房間比例,這正是由于他所依據的平均模式間隔作為基礎的理論仍然存在缺陷所確定的。
 涉及聲學知識簡介——房間固有共振頻率
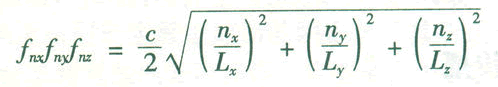
房間固有共振頻率與小房間聲學代表性問題之一的簡并模式有著密不可分的關聯關系。簡單來說,對于某一剛性房間來說,房間的幾何尺寸呈整數比,而導致房間軸向共振與切向共振頻率的重合或相近,就會產生簡并模式或簡并現象。對于一個剛性墻面全封閉的矩形房間,可看作一個共鳴腔,其固有共振頻率取決于房間長(L)、寬(W)和高(H)的長度。房間中所有的固有共振頻率都可以由以下的公式計算出來。
共振頻率公式
▲上圖:公式中,C為聲速(340m/s),nx、ny和nz可以取任意正整數(0,1,2,…,n),因此不難發現對于每一組的數值都會有一個固有的共振頻率,因而整個房間中會存在無數個共振頻率。.
當用戶的音響系統發出的某一聲音頻率與房間中的某個固有頻率相同之時,整個房間便會在該頻率上產生共振,使得房間中某幾個固定位置上的聲音出現疊加變成峰值,聲音變得響亮;同時也會使得房間內的某幾個固定位置上的聲音出現谷值,聲音變得柔弱,這就形成了駐波。假設當出現房間的簡并模式,橫向和縱向的共振頻率出現疊加,就會大大增強房間中的駐波問題,特別是當中最容易出現駐波問題的是在整個聲音頻段的低頻部分,也就是200Hz左右以下的頻率范圍內,導致室內原有的聲音產生失真,具體表現為出現嗡嗡聲。這也是在容積較小的家庭影院視聽室中經常出現的現象。


房間共振的形成
實際上房間中大部分的共振頻率都分布在200Hz以上的中高頻段區,但由于共振頻率數量多,分布密度高,不會出現明顯的頻率疊加與衰減。在200Hz以下的低頻區域,共振頻率的數量并不多,當出現簡并現象的時候,更是會加劇低頻部分的共振頻率分布不均,出現嚴重的峰谷現象。
以標準的長寬高均為7m的房間聲學模型,在10種振動方式時的最低共振頻率,為下表:
振動方式 1,0,0 0,1,0 0,0,1 1,1,0 1,0,1 0,1,1 1,1,1 2,0,0 0,2,0 0,0,2
共振頻率(Hz) 24 24 24 34 34 34 42 50 50 50
由上表可以發現在某些振動方式時的共振頻率相同,例如24Hz、34Hz、50Hz,即為共振頻率的重疊現象,這就是共振頻率的簡并現象,其頻率就是簡并頻率。
據目前最新的研究所得,并不存在能夠使得所有房間共振頻率都能均勻分布的比例數值,只不過由于人耳在聽覺上存在一定的寬容度,只要共振頻率分布的不均勻度控制在合理的范圍內,就能符合聽覺的要求。Bolt所帶來的波爾圍線的概念也是在尋找這個控制范圍。
值得注意的是,此共振的計算公式也存在著局限性,只適用于剛性墻壁,任何的吸收都會對聲音的表現造成影響,例如會改變頻率的特征。
[page]
對上述所提及的多個房間推薦比例進行房間聲學模擬
來自amroc.andymel.eu的房間模式聲學計算器
如果大家想要進行房間比例的模擬聲學計算,可以登錄amroc.andymel.eu,上面提供了相關的免費計算。以下將會對早期聲學專家推薦的房間比例進行模擬計算,計算200Hz以內房間的固有共振頻率,聲速取343m/s,房間高度一律取3米。

插聲學模擬文件夾圖
Sabine:1:1.5:2.5

高:3m,寬:4.5m,長:7.5m,面積:33.75m2,容積:101.25m3

在200Hz以內的房間共振模式分布較為均勻

房間比例推薦點在波爾圍線上方

在Bonello的1/3倍頻駐波密度統計法,符合單調遞增要求

房間大小模擬圖,三邊長度適中,屬于普通家用環境
Volkmann:1:1.6:2.5
高:3m,寬:4.8m,長:7.5m,面積:23.04m2,容積:69.12m3

在200Hz以內的房間共振模式分布較為均勻

房間比例推薦點在波爾圍線之外

在Bonello的1/3倍頻駐波密度統計法,出現相鄰同頻數量大于5,T3與T4頻程單調遞減,不符合要求

房間大小模擬圖,屬于小空間環境

Knudsen:1:1.88:2.5
高:3m,寬:5.64m,長:7.5m,面積:42.3m2,容積:126.9m3

在200Hz以內的房間共振模式分布較為均勻

房間比例推薦點在波爾圍線之外

在Bonello的1/3倍頻駐波密度統計法,出現相鄰同頻數量大于5,不符合要求

房間大小模擬圖,屬于較大的家庭視聽空間

以下計算圖片省略
 Harmonic:1:2:3
高:3m,寬:6m,長:9m,面積:54m2,容積:162m3

在200Hz以內的房間共振模式分布較為均勻

房間比例推薦點在波爾圍線之外

在Bonello的1/3倍頻駐波密度統計法,T1到T3頻程不符合要求,T5以上頻程呈單調遞增

房間大小模擬圖,屬于較大的家庭視聽空間
 Boner:1:1.26:1.59
高:3m,寬:3.78m,長:4.77m,面積:18m2,容積:54m3


在200Hz以內的房間共振模式分布較為均勻

房間比例推薦點在波爾圍線左下方

在Bonello的1/3倍頻駐波密度統計法,呈單調遞增,符合要求

房間大小模擬圖,體積較小,適合小型家庭環境使用
黃金比例:1:1.62:2.62
高:3m,寬:4.86m,長:7.86m,面積:38.2m2,容積:114.6m3

在200Hz以內的房間共振模式分布較為均勻
房間比例推薦點在波爾圍線以外
在Bonello的1/3倍頻駐波密度統計法,呈單調遞增,符合要求

房間大小模擬圖,體積適中
 早期歐洲推薦標準:1:1.67:2.67
高:3m,寬:5.01m,長:8.01m,面積:40.1m2,容積:120.4m3

在200Hz以內的房間共振模式分布較為均勻
房間比例推薦點在波爾圍線以外
在Bonello的1/3倍頻駐波密度統計法,T2頻程開始呈單調遞增
房間大小模擬圖,屬于較大的視聽室空間
[page]
中期及近期關于視聽室房間比例的研究
 在早期聲學專家對房間比例方面取得的研究成果的基礎上,自上世紀60年代到現在,不斷出現全新的尋求最佳房間比例范圍的計算方法,當中最出名的包括Gilford帶來的松散共振頻率統計法、Louden的共振頻率分布標準差均勻度統計法、Bonello的 1/3倍頻駐波密度統計法以及Walker的基于簡正頻率分布確定低頻性能指數統計法。
Gilford:松散共振頻率統計法
Gilford對大約20Hz的駐波帶寬進行查找分組,改變房間的尺寸,不斷計算,直到出現一個令人滿意的平均分布。當年,Gilford是通過手工計算的方式來完成,工作量之巨大讓人佩服,F在完全可以利用電腦進行最優化的計算來完成。Gilford當時也指出了Bolt所建議的1:1.5:2.5比例存在著一定的問題,原因在于軸向模式導致房間聲學特性的改變。

Louden:共振頻率分布標準差均勻度統計法
1971年,著名的聲學專家Louden使用共振頻率分布標準差的均勻度統計方法,計算精度比早期Bolt所提出的采用平均差統計法的更加精確。Louden在1:(1.1~1.9):(1.1~2.8)的房間比例范圍內,比例間隔為0.1的125個矩形房間分別計算出前36個共振頻率及其標準差。為了避免房間容積方面的影響,Louden所選取的各個比例的體積均選取了201.6m3,然后再以標準差為判斷方式列出統計所得出的125個房間的尺寸比例的優劣次序。于是就產生了現在國際廣播電視組織與歐洲廣播聯盟推薦的1:1.4:1.9的房間比例,另外1:1.5:2.1、1:1.4:2.1以及1:1.6:2.1等經典房間比例都出現在Louden的研究成果之中。從Louden的研究所得出的房間比例數值與Bolt所帶來的波爾圍線相比較,最佳的三個數值均在圍線的中部,與波爾圍線相當接近,為后人選取最佳的房間比例尺寸提供了便利。
對Louden推薦的經典房間比例進行房間聲學模擬
Louden:1:1.5:2.1
高:3m,寬:4.5m,長:6.3m,面積:28.35m2,容積:85.05m3

在200Hz以內的房間共振模式分布較為均勻
房間比例推薦點在波爾圍線內中心位置
在Bonello的1/3倍頻駐波密度統計法,T1~T3出現同頻,數量為1,T4頻程開始呈單調遞增,符合要求
房間大小模擬圖,體積適中

Louden:1:1.4:2.1
高:3m,寬:4.2m,長:6.3m,面積:26.46m2,容積:79.38m3

在200Hz以內的房間共振模式分布較為均勻
房間比例推薦點在波爾圍線內左方
在Bonello的1/3倍頻駐波密度統計法,T1~T3出現同頻,數量為1,T4頻程開始呈單調遞增,符合要求
房間大小模擬圖,體積適中

Louden:1:1.6:2.1
高:3m,寬:4.8m,長:6.3m,面積:30.2m2,容積:90.7m3

在200Hz以內的房間共振模式分布較為均勻
圖b:房間比例推薦點在波爾圍線內中部
在Bonello的1/3倍頻駐波密度統計法,T1~T3出現同頻,數量為1,T4頻程開始呈單調遞增,符合要求
房間大小模擬圖,體積適中

Bonello:1/3倍頻駐波密度統計法
1981年,又一位聲學專家Bonello對房間比例的統計方法展開全新的研究。Bonello的研究的主要根據是:當進行1/3倍頻程至更高帶寬時駐波密度是不會減少的,5個或更多一致的頻率模式在1/3倍頻程中是可以接受的。實際上,這種方法的原理則是由共振頻率的數量及其分布特點而來的,共振頻率越是傾向于高頻方向,它的數量也會越多。Bonello認為一個良好的視聽室共振頻率在1/3倍頻程內的共振頻率密度是單調遞增的,后一頻程中的共振頻率數量總是比相鄰的前一頻程更多。于是一種全新的統計方式出現了:只需將各種不同比例的房間低頻段的共振頻率計算出來,分析各1/3頻程中的共振頻率數量,如果屬于單調遞增,那么這個房間尺寸比例就較佳。需要指出,統計過程也常會出現相鄰兩個頻程中的共振頻率數量相同的情況,這種情況僅限于共振頻率數量為1的開頭幾個頻程。如出現在共振頻率數量大于1的相鄰頻程中,則僅算合格。在共振頻率數量小于5個頻程中不應有同頻,大于等于5的頻程才可以有同頻的出現。
Bonello也將自己的研究結果與Bolt的波爾圍線相比較,發現封閉曲線中的某些比例不能滿足要求,相反曲線外的某些比例則可以接受。更加重要的一點,就是Bonello指出了一個非常重要的理論:共振頻率的分布狀況除了與房間長寬高的比例有關之外,還與房間的容積有關。對于小容積房間合適的比例,在容積較大的房間就不一定合適。反之也一樣。當中,Bonello發現1:1.25:1.6這個比例,對于60m2、200m2以及400m2同樣也能符合共振頻率分布密度呈單調遞增的要求。Bonello的這套理論在目前專業演播室與錄音室的設計過程中都取得了非常理想的效果。
對Bonello推薦的經典房間比例進行房間聲學模擬
Bonello:1:1.25:1.6
高:3m,寬:3.75m,長:4.8m,面積:18m2,容積:54m3


圖a:在200Hz以內的房間共振模式分布均勻
圖b:房間比例推薦點在波爾圍線內左下方
圖c:在Bonello的1/3倍頻駐波密度統計法,呈單調遞增,符合要求
圖d:房間大小模擬圖,體積較小,適合打造小型視聽室

Walker:基于共振頻率分布確定低頻性能指數統計法
正是由于Bonello發現視聽室聲音質量不僅與房間比例有關,還與房間的容積有著緊密相連的重要關系,聲學專家Walker在共振頻率分布的研究上發展了低頻的性能指數,研究的重點也放置在獲取最適宜的房間比例,而不必是最好房間。
通過以上四位聲學專家對早期房間比例推薦的深度研究,為最新的國際性房間形狀、大小與比例標準的建立奠定了切實的基準。與早年對于視聽室單一的房間比例推薦值相比,目前大部分國際性的視聽室房間建立標準都完整說明房間的形狀、大小以及建議的比例參數。用戶在打造家庭影院視聽室的過程中能夠根據房間的實際情況來打造最適宜的房間。

[page]
目前國內外組織與機構關于視聽室房間大小與比例的推薦標準
經過前人的研究積累,目前關于視聽室形狀、大小與比例方面,國內外組織與機構都訂立了相關的標準與推薦值,當中包括國際電工委員會、國際廣播電視組織、歐洲廣播聯盟、Dolby公司、THX公司、PMI公司、清華大學等等。在這些規定之中,尤以國際電工委員會帶來的IEC29-B家庭視聽室標準為重點,是家庭影院房間設計參考的重點標準。而又Dolby公司專門為頂級電影后期審片室而制定的相關推薦標準,對于家庭影院視聽室的設計同樣也有著重要的意義,因為家庭影院的前身就是電影后期審片室,電影后期審片室是家庭影院建造的標準。相對而言國際廣播電視組織與歐洲廣播聯盟所推薦的房間大小與比例標準是針對廣播錄音室環境而制定的,與家居環境仍有一定差異。
值得注意的是,大家在參考相關標準的時候,除了要留意房間的推薦比例之外,還需要留意推薦的房間容積,兩者都會影響房間的聲學特性。房間容積較大的推薦比例,也許并不適合作為容積較小的房間的推薦比例。雖然并非所有的組織與機構都帶有房間大小的推薦標準,但他們也默認視聽室為一般的家庭環境。除此之外,在各種的推薦標準中,也展開了對房間形狀的討論,如THX與PMI公司就認為,除了矩形的房間形狀,其他形狀的房間也可用來作為視聽室(當中不包括正方形),但是由于很難對房間的聲學特性進行預測、計算與控制,并不推薦使用。因此,對于想要在不規則形狀的房間中打造家庭影院視聽室的用戶,最佳的辦法,還是改建為矩形的房間形狀。
國際主流家庭視聽室設計標準
IEC(國際電工委員會):IEC29-B家庭視聽室標準

網址:www.iec.ch
成立于1906年的國際電工委員會(IEC)是世界最早的國際性電工標準化機構,主要負責電工、電子領域國際性標準的設定,總部設立在日內瓦。關于視聽室的建立標準,由IEC所建立的IEC29-B家庭視聽室標準是最具權威性的標準。與IEC早期帶來的IEC268-13視聽室標準相比,IEC29-B標準更加詳細與準確,適合于面積較小的房間使用,便于用戶在普通家居環境之下建立家庭影院視聽室。
IEC對于家庭視聽室方面制定的IEC268-13視聽室標準,適用范圍涵蓋了雙聲道與多聲道環繞聲系統。由于IEC機構是建立在歐洲地區,因而IEC29-B標準也是根據歐洲家居環境的狀況對房間三邊的長度、比例以及房間的面積以及混響時間等提出了相關的建議。
在房間的形狀方面,建議最佳的房間形狀是矩形,稍微梯形的四邊形也在接受范圍,但是絕不建議采用正方形或者窄長的形狀,以減低低頻共振所造成的房間聲染的嚴重問題。推薦的房間比例為1:1.6:2.4 (高:寬:長),此比例在波爾圍線的線上,符合Bolt所制定的理論比例范圍。建議的房間面積應該在24m2以上。此外,IEC29-B標準還對房間內部的裝飾進行了細致的規定,要求音箱前方的地面無地毯等吸音物料,音箱的背后與天花頂棚呈現反射性,音箱的前面呈現吸聲性。

推薦的房間比例(高:寬:長):1:1.6:2.4,建議房間面積:24m2以上

房間聲學模擬:
利用amroc.andymel.eu網絡房間模式計算軟件,對推薦房間比例進行模擬計算,計算200Hz以內房間的固有共振頻率,聲速取343m/s。假設房間高為3m,寬為4.8m,長為7.2m。面積為34.56m2
在200Hz以內的房間共振模式分布均勻
房間比例推薦點在波爾圍線上
在Bonello的1/3倍頻駐波密度統計法,呈現單調遞增,且同頻現象也僅出現在數量為1的頻程中,符合要求
房間大小模擬圖,大小適合家用
Dolby Laboratories(杜比實驗室)在頂級電影后期審片室房間設計方面推薦建議
網址:www.dolby.com

Dolby Laboratories(杜比實驗室)在世界的音頻娛樂領域擁有重要的地位,也是世界最早開展家庭影院研究的組織之一,在電影后期審片室、專業廣播錄音室、家庭影院的音頻設計方面擁有豐富的經驗。一個標準的家庭影院視聽室,是建立在電影后期審片室的標準之下。Dolby(杜比)在電影后期審片室房間設計方面有著相當獨到的一面,具體就表現在Dolby最頂級的PREMIER STUDIO頂級電影后期審片室的認證之中。當中有提及房間設計這方面的要求。

weixin

阿強家庭影院導購/產品/方案/評測/案例

多年家庭影院設計與裝修施工經驗、百多家真實案例展示

立即撥打132 4190 2523(同微信號)或者關注公眾號:hdkong

阿強抖音碼