揚聲器是音響系統里面最常見的部件,屬于最終回放聲音的部件,也是決定最終聲音效果最關鍵的部件。它是一種將電能轉換為聲音的換能器,你能從手機、平板、電視機或各種音響系統中聽到節目源的聲音都是它們的功勞。如果你在網上搜索揚聲器的關鍵字就會出現各種各樣外形,不同類型的揚聲器圖片,雖然它們的樣子長得都不一樣,但都是通過驅動空氣,使空氣分子的疏密程度發生變化,再傳遞到我們的耳朵里面讓我們感知到聲音。由于揚聲器的類型實在太多,且應用廣泛、涉及面甚廣。因此,我們把話題定位到高保真音箱當中最常用的球頂揚聲器和錐形揚聲器里面。為什么要選擇這兩種類型揚聲器?因為它們倆都是目前在技術上非常成熟,且大量生產的揚聲器。如果大家在聽音樂的時候,觀察一下音箱上面的揚聲器就會發現,高音揚聲器的口徑都比較小,而低音揚聲器的口徑都比較大,高音揚聲器的口徑又這么小,這是為什么呢?還有為什么要用硬度高的振膜呢?為什么要在振膜上有一圈圈的環狀物?到底揚聲器在發聲的背后隱藏著什么秘密呢?如果你是一名專業人士,那么這些內容就未免太簡單的,可以忽略。但如果你是一名影音小白,那么請閱讀本次專題,你就能了解到一些關于揚聲器的基本知識。


本次專題主要內容包括:
第一、基本原理,結構及能量轉換過程
第二、球頂揚聲器與錐盆揚聲器一直占據著主導地位
第三、錐形揚聲器
第四、為什么口徑大的揚聲器有利于低頻回放
第五、為什么口徑越小的揚聲器越有利于高頻回放
第六、振膜的幾何形狀對錐盆揚聲器在高頻重放的影響
第七、球頂揚聲器
第八、揚聲器的振膜在振動時會發生什么情況
第九、揚聲器的行程范圍
第十、揚聲器的失真
第十一、發燒友為什么要追求大口徑的低音揚聲器

基本原理,結構及能量轉換過程
球頂揚聲器和錐形揚聲器都屬于電動式揚聲器。電動式揚聲器的原理就是把線圈放在磁場里,再接入交流電,線圈就會在磁場里產生前后往返運動。至于為什么會產生前后往返運動,請自行翻閱中學物理課本里面的“左手定則”和“右手定則”。當然,真正的揚聲器還會復雜一點,還有磁鐵、導磁板、支架(也叫盆架)、振膜(也叫音盆)、折環(用于連接振膜與音盆)、定心支片(也稱彈波)等零部件。
剛剛說到揚聲器是將電能轉化為聲音的換能器,而且也說到在一個通入交流電的線圈在磁場中做前后往返運動。其實揚聲器從電能轉換為聲音的過程當中必須經歷電能 → 機械能 → 聲音的轉換。也就是說,將電先轉化為機械運動,然后由音圈帶動振膜驅動空氣,當然還有一部分能量是因為線圈通電發熱產生熱量給消耗掉。

球頂揚聲器與錐盆揚聲器一直占據著主導地位
球頂揚聲器與錐盆揚聲器出現以來一直占據了主導地位,即使這么多年以來,人類不斷地開發出各種新型的揚聲器,但依舊沒有對它們的主導地位造成動搖。其原因是它們的結構簡單,生產容易,本身不需要很大的空間,可以大量生產。而且它們在揚聲器多年的發展史上也在不斷被改進,包括從材料、工藝、磁路等方面,性能可謂與時俱進。因而,不難發現在音箱里面,絕大多數都是采用球頂揚聲器與錐盆揚聲器。

球頂揚聲器通常用于高頻,而少數用于中頻播放,因為制作難度相對較大,例如,英國ATC、Volt,臺灣TB Speaker就有球頂式的中音揚聲器,也就是發燒友俗稱的“饅頭中音”,而錐形揚聲器多用于中頻,低頻和超低頻重放,也有用于全頻聲音重放錐形揚聲器。

錐形揚聲器
錐形揚聲器是歷史最悠久的電動式揚聲器之一,于 1925年由Edward W. Kellogg和Chester W. Rice獲得專利,美國專利號為 1,707,570。錐形揚聲器來自英文“Cone Speaker”,因為振膜的幾何形狀為圓錐形而得名。

錐形揚聲器的結構可以分為三個部分:
1.振動系統部分:包括振膜、音圈、定心支片、防塵罩等;
2.磁路系統部分:包括導磁板、導磁柱、磁體等;
3.輔助系統部分:包括盆架、壓邊、接線端子、相位塞等;
錐形揚聲器在國內以前也有人稱它為紙盆揚聲器,因為我們那時候經常接觸到的錐形揚聲器,其振膜主要采用紙張制作而成,這實際上是一種誤解。盡管當今的錐形揚聲器的振膜依然有采用紙制造,像專業音響里面的中音揚聲器、低音揚聲器的振膜通常都是紙盆。但同時也出現了其他材料(如金屬材質、高分子材料)制作的振膜,這類錐形揚聲器大多數應用在家用音響領域。

因為錐形揚聲器多用于中頻、低頻和超低頻重放,所以它們的振膜口徑都比較大,常見的有4英寸、6.5英寸、8英寸、10英寸、12英寸等等,甚至還有口徑更大的錐形揚聲器,例如,Ascendo的SMSG50超低音音箱,振膜的口徑達到50英寸!因此,振膜的口徑越大,意味著錐形揚聲器的有效驅動空氣面積越大,能驅動更大量的空氣,而且振膜的口徑越大,可以發出頻率更低的聲音,但同時也需要更大的功率驅動。
為什么口徑大的揚聲器有利于低頻回放?
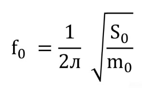
我記得去年曾經做過一期關于超低音音箱的專題里面就已經解釋過這個問題。但時間已經過去那么久了,現在再給大家復習一下。一個揚聲器能重播到多低的頻率取決于它的共振頻率f0,而f0又由什么來決定的呢?


如左面的關系式,共振頻率f0主要受振動系統的等效質量(m0)和振動系統的彈性系數(S0)所影響。其中,等效質量就是音盆(包括防塵帽),音圈的質量和因為震動帶動的喇叭兩側的空氣質量之和。系統的彈性系數(S0)就是力順(CMY)的倒數。力順(CMY)受彈波(又稱“定心支片”)和折環所影響,彈波和折環越柔軟,會有較高的力順,共振頻率會降低,低頻重播下限更低。

如此一來,加大振動系統的等效質量(m0),減少彈性系數(S0)(相當于增大力順),那么就可以讓共振頻率(f0)往更低的頻率下移,而增大音盆的口徑,相當于增加振動系統質量,又或者使用較為柔軟的折邊和彈波都能實現更低的共振頻率(f0),那么就代表著這低音揚聲器能重放出更低的頻率。雖然找到解決問題的方式,但總不可能無限制地增加音盆的口徑,或使用非常柔軟的彈波和折邊,兩者之間需要獲得一個平衡點。

為什么口徑越小的揚聲器越有利于高頻回放?
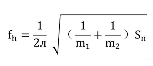
高頻重播上限是取決于高頻諧振頻率f_h ,當重播頻率高于此頻率時聲壓級就會急劇下降。那么f_h由什么來決定的呢?下面同樣以錐盆揚聲器為例說明,再來看以下一組公式。

在公式里面,m1是音圈質量,m2是振膜質量,Sn是音圈根部勁度。由此可見,降低音圈和振膜質量,fh值就會越高,高頻重播上限越高。因此,越輕,口徑越小的振膜和音圈就有利于高頻的回放,這也是高頻揚聲器的口徑都很小的原因。
由此可以知道,口徑越大對低頻重播有利,但高頻重播的兼顧性變差,相反能保證高頻重播就無法保證低頻重播,這就是矛盾,僅僅靠一只揚聲器是無法很好地兼顧高頻與低頻,所以在音箱設計上通常都會采用多路分頻方式設計,且越貴的音箱往往會采用三分頻、四分頻,甚至五分頻,每只揚聲器只負責一小部分頻率的回放,從而更好地兼顧高頻和低頻重播。

振膜的幾何形狀對錐盆揚聲器在高頻重放的影響
如果你再細心地觀察還會發現,不同錐盆揚聲器的振膜幾何形狀也有差異,有直線形振膜,拋物線振膜和指數形振膜,這三種不同的幾何形狀對揚聲器的性能產生什么影響呢?答案是高頻重播性能。經過大量的分析和實驗可以得到這樣一個答案,指數形振膜更有利于高頻重播,且高頻重播性能最平滑,因此這種指數形幾何形狀的振膜在全頻揚聲器里面較為常用,而直線形振膜和拋物線形振膜就常用于中音揚聲器和低音揚聲器。

球頂揚聲器
球頂揚聲器來自英文“Dome Speaker”,因為它的振膜是幾何形狀是往外面凸出的半球形而得名。由于常用于高頻重播,所以球頂揚聲器的振膜口徑很小,最常見是1英寸或1.5英寸,材質都選用質量輕的材料,而且還根據材料選用有“軟球頂揚聲器”和“硬球頂揚聲器”之分。軟球頂揚聲器的振膜通常是絲、麻等纖維類等軟性的材料制作,通常還會在振膜上涂上一層涂料。硬球頂揚聲器的振膜通常用金屬材料制作,如鈹、鈦等金屬制造,也有使用碳化硼、人造鉆石等合成材料制作。

球頂揚聲器的振膜除了往外凸出,還有往內凹的半球頂揚聲器,也叫“反球頂揚聲器”。這種球頂揚聲器比較少。其中,法國FOCAL設計的高音單元就是“反球頂揚聲器”。這種球頂揚聲器可以安裝定心支片作為雙重支撐(定心支片+折環),這樣可以提高振膜運動時的穩定性。

另外,專業音箱里面使用的壓縮驅動頭,有相當一部分產品的內部的振膜也是半球形振膜,只不過它的振膜安裝在壓縮腔體里面,我們平時看不到而已。壓縮驅動器振膜的口徑有1英寸,也有1.5英寸,而且還有更大的3英寸,甚至4英寸。壓縮驅動器在使用時需要配合號角擴散器一起,這種組合比上述的球頂揚聲器具備更高的效率,能輸出更大的聲壓級來滿足擴聲要求。同樣地,也有廠家在球頂揚聲器前方安裝一個號角擴散器,主要目的是為了控制聲音的指向性。

揚聲器的振膜在振動時會發生什么情況?
我們用音響聽音樂時會看到揚聲器的振膜在振動,而且通過肉眼觀察,你看到的情況是整個振膜往前往后移動。事實上是這樣嗎?很顯然地,不是!振膜在前后運動時會發生什么事情?

首先是分割振動,以錐盆揚聲器而言,它的音圈位于振膜的中心位置。當重播頻率不斷上升,振動速度加快的時候就會出現分割振動。簡單說,振膜振動并不是整個膜都在做前后運動,而是不規則的振動,使得振膜的局部區域產生反相驅動空氣,使得頻響曲線產生顛簸;又或者振膜的中心部分振動幅度最大,邊緣部分幾乎沒有振動。因此,使用錐形揚聲器在播放高頻時,而且播放頻率越高,高頻會越往中心發出。錐盆揚聲器減少分割振動的手段通常都在振膜上做文章。比如,你看到JBL的大口徑低音揚聲器的紙盆振膜上有一圈圈環狀造型的紋理,目的就是降低分割振動。另外,也有使用硬度更高的碳纖或者三明治結構作為振膜。

如果是半球型揚聲器,因為音圈位于振膜外圍。當它產生分割振動時,往往振膜的邊緣在振動,中心部分幾乎不動,或者不均勻地變形。于是,為了減少這些分割振動,廠家都會在振膜的材質或者表面處理做處理。以半球形揚聲器而言,最常見的做法就是采用又輕又硬,聲速快的材料。例如,在去年寫的“只為更好的聲音!回顧那些瘋狂的音響設計”專題里面提到的鈹、鉆石、碳化硼這類高硬度、高聲速的材質作為高音,甚至中音揚聲器的振膜,我們稱之為“硬球頂”,目的就是為了降低分割振動。而對于使用軟性的絲膜材料制作的“軟球頂”,通常都采用加固手段。例如,YG Acoustics的在高音揚聲器的振膜加上一個鋁合金支架來支撐,起到加固作用。

揚聲器的行程范圍
當揚聲器的音圈帶動振膜往前,往后運動的過程當中會形成一定長度的前后位移,這就是行程。而行程范圍與揚聲器重播聲音的頻率和輸出聲壓有直接的關系,輸出聲壓越大,重播頻率越低,揚聲器就需要做更大的行程范圍,反之越少。低音揚聲器因為重播頻率低,行程范圍最大,尤其是你聽交響樂、聽打鼓、聽流行音樂時,肉眼能看到低音揚聲器的振膜在振動。但高音揚聲器由于重放頻率高,行程范圍極短,即使是大聲壓輸出狀態下,肉眼就看不到它的振動。但行程范圍不是無限大,最終受揚聲器自身所限制,這個限制范圍就是揚聲器的行程范圍,或者說最大行程范圍。通常地,揚聲器的最大行程范圍用“±”+ 數字+ 長度單位進行標識。其中,“±”代表音圈從中央位置往前(或往后)的單方向位移,長度單位通常是毫米(mm)。例如,一只喇叭的最大行程范圍標識為“±3mm”,那么它的單方向最大行程范圍就是3mm,前后加起來是6mm。

除了最大行程范圍,揚聲器還有一個線性行程范圍的參數。到底兩者有什么區別呢?線性行程范圍意思就是告訴你,揚聲器在這個行程范圍內可以保證較低的失真,可以保證很好的音質,而一旦超出線性行程范圍就會出現非線性失真,音質開始劣化,當行程進一步加大時,非線性失真進一步加大,音質進一步劣化,如果超過最大行程范圍時音圈會觸碰到磁體底部,此時你會聽到揚聲器里傳出“啪”一聲,這就是俗稱的“打底”,嚴重時會對揚聲器造成損壞。

揚聲器的失真
在上文中我們提及到揚聲器的非線性失真,為什么會產生非線性失真呢?在文章的開頭就說到,揚聲器的音圈在交流電的作用下在磁場里運動。事實上,揚聲器磁路部分的磁場本身存在均勻區和非均勻區。當音圈在磁場的均勻區做位移時,揚聲器就可以保證在低失真的狀態,一旦音圈的位移超過磁場的均勻區時就會出現非線性失真。與此同時,支撐材料也會引起非線性失真,支撐材料包括定心支片(球頂揚聲器大部分沒有定心支片)和折環。因此要改善揚聲器的非線性失真,還是先從磁路、音圈、折邊、定心支片等以及其他零部件上做優化。

揚聲器的總諧波失真曲線,從高頻到低頻所呈現的曲線是非線性變化的
非線性失真是衡量揚聲器性能優劣的重要參數之一。說到這里你就會明白一個道理,除非你的揚聲器性能非常厲害,否則在聽音樂的時候就要注意音量,不要老是調大音量來聽,也不要用聽那些具備變態的低頻音效的音樂來折磨你的揚聲器,這樣就可以避免揚聲器的非線性失真,也避免其他不必要的,不可控的情況發生。

常見的揚聲器瞬態響應表現

Sound Lab A-1是瞬態響應最好的揚聲器之一,但它是一款靜電揚聲器
除了非線性失真外,揚聲器本身還會存在其他失真。例如,互調失真。由于揚聲器在播放音樂的時候是一個復雜信號,不同信號加載到揚聲器上面播放時,不同信號之間也會相互調制而引起互調失真。瞬態失真。一個完美的,理想的揚聲器,它的振動系統必須完全跟隨輸入信號的變化而變化。換一種表達方式就是,要求揚聲器具備迅雷不及掩耳之勢,對音樂能快速作出反應,起始和停止都能瞬間完成。而事實上,這世界上沒有一款揚聲器能滿足這樣的性能,這就是揚聲器的瞬態失真。
使用球頂揚聲器+錐盆揚聲器設計的音箱里面,Dunlavy Audio Laboratories SC-IV可是表現最好之一
說到揚聲器的失真,以上只是少部分,真正要討論失真這個話題,那是一個很復雜的話題,還是留給電聲工程師去衡量吧!

發燒友為什么要追求大口徑的低音揚聲器?
“小口徑喇叭的低音假,大口徑喇叭的低音寬松自然”這是音響發燒友常常掛在嘴邊的一句話,久而久之已經成為了發燒圈子里面的金科玉律。到底為什么發燒友要追求大口徑的低音揚聲器呢?

假如一只6.5英寸的揚聲器與一只15英寸的揚聲器同樣重播50Hz的頻率,聲壓級要達到90dB,由于6.5英寸口徑的揚聲器由于驅動空氣的有效面積比較小,需要做更長的行程才能驅動足夠的空氣量來達到所需聲壓級,但一來一回的行程長了就容易產生非線性失真,而且瞬態響應也會變慢,所以低音聽起來能量大,但缺乏質感,缺乏清晰度,這就是聽感上覺得很假,不干凈的原因。如果用音頻分析儀去測量揚聲器的失真,測試數據顯示20%,甚至達到50%都是很正常的。

對于15英寸的揚聲器,由于驅動空氣的有效面積比6.5英寸的揚聲器要大,相比之下只需要更小的行程就能驅動與6.5英寸口徑揚聲器相同的空氣量,更小的行程意味著非線性失真更低,瞬態響應也更好,所以低音聽起來干凈,寬松自然,能量充沛。所以說,要播放低音,低音揚聲器必定是“一寸大,一寸強”。這就是為什么發燒友玩音響追求大口徑低音揚聲器的原因了。
當然,要控制好低音揚聲器的失真,除了揚聲器自身的性能外,與電子線路之間的配合也是非常重要。通常都會使用反饋修正的方式來降低失真。例如,低音揚聲器的音圈上有兩組線圈,一組是放大器驅動,另一組是反饋線圈,把信號反饋到放大器輸入端做對比,最后作出修正,還有利用加速度傳感器檢測振膜的運動狀態,把信號反饋到放大器的輸入端做對比,再作出修正,有關于這些內容,我們在去年的“八仙過海,各顯神通,淺談常見的幾種低音炮設計”專題里面就有相關內容。

總結
關于揚聲器的知識,以上的內容只能算是皮毛,如果你想了解更多關于揚聲器的知識,我們建議大家還是購買相關的專業書籍繼續學習。對于揚聲器而言,你必須知道的是,這世界上沒有一個完美的揚聲器,而且揚聲器本身就是個矛盾體,而且解決了一個問題,又會有新的問題出現。例如,口徑大的有利于低頻重播,口徑小的卻有利于高頻重播,所以一只揚聲器是無法很好地兼顧全頻重播。于是,科學家們又想出了多路分頻,多只揚聲器設計來實現全頻回放,這又牽涉到分頻器的設計問題,如此一來又增加了設計難度。而人類在多年來為了提高揚聲器的性能,給消費者帶來優質的聽覺體驗也是費盡了心思。
另外,揚聲器也是一套音響器材當中失真最大的部件。盡管驅動揚聲器的功放可以實現非常低的失真(如總諧波失真可以低到小數點后3位數),但對于有一只揚聲器,假如在特定的頻響范圍內,輸出聲壓90dB,總諧波失真達到0.5%已經屬于非常優秀的產品,這相比起功放、甚至播放器來說,揚聲器絕對屬于失真最大的部件。如果你是一名發燒友,我們建議你在選購音響系統的時候,必須在自己的預算范圍里選擇一款好的音箱,而且在選購之前必須多試聽,多對比,在價位接近的產品里面對比,哪個音箱能給你帶來更清晰干凈,細節更豐富的聲音,那么它就是你的最佳選擇。














